এখানে ৪৬তম বিসিএস প্রশ্ন সমাধান (46th BCS Preliminiary Question Solution) করা হয়েছে
আপনারা নিশ্চই জানেন যে বিসিএস প্রস্তুতি শুরু করার পূর্বে বিগত সালের বিসিএস পরীক্ষার প্রশ্ন সমাধান করা কতটা গুরুত্বপূর্ণ। বিগত সালের বিসিএস পরীক্ষার প্রশ্ন সমাধান অনুসরণ করলে বিসিএস পরীক্ষার প্রশ্নের প্যাটার্ন নিয়ে একটি ধারনা তৈরি হয়। ফলে প্রার্থী সহজেই বুঝতে পারে বিসিএস পরীক্ষার প্রস্তুতি নেওয়ার জন্য ঠিক কতটুকু পড়তে হবে এবং কতটুকু বাদ দিতে হবে। ফলে সামগ্রিক বিসিএস প্রস্তুতি আরও সহজ হয়ে যায়।
সরকারি বেসরকারি সকল চাকরির খবর সবার আগে পড়তে আমাদের গভ জবস বিডি পেজে ভিজিট করুন।
৪৬তম বিসিএস প্রশ্ন সমাধান
পরীক্ষার তারিখঃ ২৬ এপ্রিল ২০২৪
পুর্ণমানঃ ২০০
প্রশ্ন ১. পাহাড়পুরের ‘সোমপুর মহাবিহার’ বাংলার কোন শাসন আমলের স্থাপত্য কীর্তির নিদর্শন?
ক) মৌর্য
খ) পাল
গ) গুপ্ত
ঘ) চন্দ্র
সঠিক উত্তর: খ) পাল
ব্যাখ্যা: ◉ নওগা জেলার পাহাড়পুরে অবস্থিত সোমপুর মহাবিহার প্রাচীন বাংলার ❝পাল রাজবংশের❞ শাসনামলে অষ্টম শতকের শেষের দিকে বা নবম শতকের শুরুর দিকে স্থাপিত হয়।
সোমপুর মহাবিহার:
→ পাহাড়পুর বৌদ্ধবিহার বা সোমপুর মহাবিহার বাংলাদেশের নওগাঁ জেলার বদলগাছি উপজেলায় অবস্থিত।
→ সোমপুর মহাবিহার প্রাচীন বাংলার একটি বৌদ্ধ বিহার। পাহাড়পুরএর উৎখননকৃত বিহার কমপ্লেক্সের সঙ্গে সোমপুর মহাবিহারকে অভিন্ন মনে করা হয়।
→ পাল বংশের দ্বিতীয় রাজা ধর্মপাল আনুমাণিক ৭৮১ – ৮২১ খ্রিস্টাব্দে এ বিহার স্থাপন করেন বলে অনুমান করা হয়। ধর্মপালের অসমাপ্ত কিছু কাজ তাঁর যোগ্য উত্তরসূরি দেবপালের সময়ে শেষ হয়।
→ বিহারের ধ্বংসাবশেষ হতে কিছু মাটির সিল পাওয়া গেছে, যেখানে উৎকীর্ণ রয়েছে ⎯ ‘শ্রী-সোমপুরে-শ্রী-ধর্মপালদেব-মহাবিহারিয়ার্য-ভিক্ষু-সংঘস্য’।
→ পাহাড়পুরকে পৃথিবীর সবচেয়ে বড় বৌদ্ধবিহার বলা যেতে পারে। আয়তনে এর সাথে ভারতের নালন্দা মহাবিহারের তুলনা হতে পারে। এটি ৩০০ বছর ধরে বৌদ্ধদের অতি বিখ্যাত ধর্মচর্চা কেন্দ্র ছিল।
→ খ্রিষ্টীয় দশম শতকে বিহারের আচার্য ছিলেন ⎯ অতীশ দীপঙ্কর শ্রীজ্ঞান।
→ ১৮৭৯ সালে স্যার কানিংহাম এই বিশাল কীর্তি আবিষ্কার করেন।
→ ১৯৮৫ সালে ইউনেস্কো বিহারটিকে বিশ্ব ঐতিহ্যবাহী স্থানের মর্যাদা দেয়।
উৎস: বাংলাদেশ পর্যটন কর্পোরেশন, নওগাঁ জেলার সরকারি ওয়েবসাইট ও বাংলাপিডিয়া।
প্রশ্ন ২. মুজিবনগর সরকারকে গার্ড অব অনার নেতৃত্ব দেন কে?
ক) মোহাম্মদ সোলায়মান
খ) আব্দুল খালেক
গ) মাহবুব উদ্দিন আহমেদ
ঘ) শৈলেন্দ্র কিশোর চৌধুরী
সঠিক উত্তর: গ) মাহবুব উদ্দিন আহমেদ
ব্যাখ্যা: ◉ মুজিবনগর সরকারকে গার্ড অব অনার প্রদানকারী দলের নেতৃত্বে ছিলেন ⎯ মাহবুব উদ্দিন আহমেদ বীরবিক্রম।
– তিনি একাত্তরে ঝিনাইদহ মহকুমার পুলিশ প্রধান ছিলেন।
মুজিবনগর সরকার গঠন:
– বাংলাদেশের মুক্তিযুদ্ধে ১৯৭১ সালের ১৭ এপ্রিল ও মুজিবনগর সরকারের শপথ গ্রহণ একটি ঐতিহাসিক ও গুরুত্বপূর্ণ অধ্যায়। ঐতিহাসিকভাবে বাংলাদেশের জন্য এই দিনটির তাৎপর্য অপরিসীম, কেননা এই দিনেই আনুষ্ঠানিকভাবে স্বাধীন বাংলাদেশের জন্ম হয়।
– এদিন (১৯৭১ সালের ১৭ এপ্রিল) কুষ্টিয়া জেলার মেহেরপুর মহকুমার ভবেরপাড়া গ্রামের বৈদ্যনাথতলার আম্রকাননে স্বাধীন বাংলাদেশ সরকারের শপথ গ্রহণ অনুষ্ঠিত হয়। এটি ‘মুজিবনগর সরকার’ নামেই সমধিক পরিচিত এবং মুজিব নগর সরকারের নেতৃত্বে বাংলাদেশ পাক হানাদারদের বিরুদ্ধে চূড়ান্ত বিজয় অর্জন করে। এর আগে ১০ এপ্রিল দেশের ‘গণপ্রজাতন্ত্রী বাংলাদেশ’ নামকরণ করে বঙ্গবন্ধুর অন্যতম সহযোগী আওয়ামী লীগ নেতা তাজউদ্দীন আহমদকে প্রধানমন্ত্রী করে চার সদস্যবিশিষ্ট মন্ত্রীসভা ঘোষণা করা হয়।
– উল্লেখ্য, মেহেরপুর মহকুমা পরবর্তীতে জেলা হিসাবে উন্নীত হয় এবং বৈদ্যনাথতলার নাম পরিবর্তন করে রাখা হয় ⎯ মুজিবনগর।
– স্বাধীনতা যুদ্ধ চলাকালে মুজিবনগর ছিলো স্বাধীন দেশের অস্থায়ী রাজধানী এবং সচিবালয়/সদরদপ্তর ছিলো ⎯ কলকাতার ৮ নং থিয়েটার রোড।
মুজিবনগর সরকারের মন্ত্রীসভা:
➝ রাষ্ট্রপতি ⎯ বঙ্গবন্ধু শেখ মুজিবুর রহমান,
➝ উপরাষ্ট্রপতি ও ভারপ্রাপ্ত রাষ্ট্রপতি ⎯ সৈয়দ নজরুল ইসলাম,
➝ প্রধানমন্ত্রী ⎯ তাজউদ্দিন আহমেদ,
➝ অর্থ ও বাণিজ্যমন্ত্রী ⎯ ক্যাপ্টেন এম মনসুর আলী,
➝ স্বরাষ্ট্র, ত্রাণ, পুনর্বাসন ও কৃষিমন্ত্রী ⎯ আবুল হাসনাত মুহাম্মদ কামারুজ্জামান,
➝ পররাষ্ট্র ও সংসদ বিষয়ক মন্ত্রী ⎯ খন্দকার মোশতাক আহমেদ।
মুজিবনগর সরকারের শপথগ্রহণ সংক্রান্ত অন্যান্য তথ্য:
➝ মুজিবনগর সরকারের শপথগ্রহণ অনুষ্ঠান পরিচালনা করেন ⎯ আবদুল মান্নান এম.এন.এ।
➝ মন্ত্রীপরিষদ সদস্যদের শপথবাক্য পাঠ ও স্বাধীনতার ঘোষণাপত্র পাঠ করেন ⎯ গণপরিষদের আওয়ামীলীগের হুইপ অধ্যাপক ইউসুফ আলী এম.এন.এ।
➝ মুজিবনগর সরকারের ভারপ্রাপ্ত ও উপরাষ্ট্রপতি সৈয়দ নজরুল ইসলামকে গার্ড অব অনার প্রদান করেন ⎯ তৎকালীন ঝিনাইদহ মহকুমার পুলিশপ্রধান মাহবুব উদ্দিন আহমেদের নেতৃত্বে আনসার, পুলিশ ও উপস্থিত মুক্তিযোদ্ধাদের সমন্বয়ে গঠিত ১২ সদস্যের একটি যৌথ দল।
➝ শপথগ্রহণের সময় শতাধিক ভারতীয় ও বিদেশি সাংবাদিক এবং প্রচার মাধ্যম কর্মী উপস্থিত ছিলেন।
উৎস: বাংলাদেশের ইতিহাস ও বিশ্বসভ্যতা, নবম-দশম শ্রেণি, DMP ও তথ্য অধিদফতর ওয়েবসাইট।
প্রশ্ন ৩. ঐতিহাসিক ৬-দফা দাবিতে কোন দু’টি বিষয় কেন্দ্রিয় সরকারের হাতে রাখার প্রস্তাব ছিল?
ক) বৈদেশিক বাণিজ্য ও প্রতিরক্ষা
খ) অর্থ ও পররাষ্ট্র
গ) স্বরাষ্ট্র ও পরিকল্পনা
ঘ) প্রতিরক্ষা ও পররাষ্ট্র
সঠিক উত্তর: ঘ) প্রতিরক্ষা ও পররাষ্ট্র
ব্যাখ্যা:
◉ ছয় দফা কর্মসূচির ২য় দফায় ⎯ প্রতিরক্ষা ও পররাষ্ট্র বিষয় দুটি কেন্দ্রীয় সরকারের হাতে রাখার প্রস্তাব করা হয়েছিল।
ছয়দফা কর্মসূচি:
➝ ঐতিহাসিক ছয়দফা কর্মসূচি ‘আমাদের বাঁচার দাবি: ছয়দফা-কর্মসূচি’ নামে প্রকাশিত হয়েছিলো। ছয়দফাকে ‘বাঙালির মুক্তির সনদ’ বা ‘ম্যাগনাকার্টা’ বলা হয়।
➝ ১৯৬৬ সালের ৫ ও ৬ ফেব্রুয়ারী পাকিস্তানের লাহোরে অনুষ্ঠিত বিরোধীদলসমূহের সম্মেলনে তৎকালীন আওয়ামীলীগের সাধারণ সম্পাদক বঙ্গবন্ধু শেখ মুজিবুর রহমান প্রথম ছয়দফা দাবী উত্থাপন করেন। পরবর্তীতে ঢাকায় ফিরে, ২১ ফেব্রুয়ারি আওয়ামী লীগের কার্যকরী কমিটির বৈঠকে তিনি এটি পাস করিয়ে নেন দলের কাছ থেকে।
➝ একই বছরের ১৮ ও ১৯ মার্চ আওয়ামীলীগের ওয়ার্কিং কমিটির কাউন্সিল সভায় শেখ মুজিবুর রহমানকে সাধারণ সম্পাদক ও তাজউদ্দিন আহমদকে সাধারণ সম্পাদক করে পূর্ব পাকিস্তান আওয়ামীলীগের নতুন কমিটি হয় এবং একই সভায় ছয়দফা প্রস্তাব গৃহিত হয়।
➝ ১৯৬৬ সালের ২৩শে মার্চ শেখ মুজিবুর রহমান ঢাকায় সংবাদ সম্মেলনে আনুষ্ঠানিকভাবে ছয়দফা উত্থাপন করেন। দেশজুড়ে গণপ্রচারণা শুরু হয় ছয় দফার পক্ষে। এ আন্দোলনের মাধ্যমে বঙ্গবন্ধু জাতীয় নেতায় পরিণত হন।
➝ কিন্তু পাকিস্তানি স্বৈরশাসক ও রাজনীতিকরা অস্ত্রের ভাষায় এই গণজাগরণ মোকাবিলার চেষ্টা করে। ১৯৬৬ সালের ৮ মে শেখ মুজিবকে গ্রেফতার করে দীর্ঘমেয়াদে জেলে রাখা হয়।
➝ প্রতিবাদে ৭ জুন হরতাল কর্মসূচির ঘোষণা দেয় আওয়ামী লীগ। বিপরীতে সেদিন ১৪৪ ধারা জারি করে পাকিস্তানিরা। কিন্তু ছাত্র-জনতার পাশাপাশি শ্রমিকরাও রাজপথে নেমে আসে ছয় দফার সমর্থনে। জান্তাদের গুলিতে প্রাণ হারায় ১১ জন।
– ৭ জুন ‘ছয়দফা দিবস’ পালিত হয়।
ছয়দফা কর্মসূচির দাবিসমূহ:
◉ প্রথম দফা ⎯ প্রাদেশিক স্বায়ত্তশাসন:
– লাহোর প্রস্তাবের ভিত্তিতে সংবিধান রচনা করে পাকিস্তানের জন্য একটি যুক্তরাষ্ট্রীয় শাসনতন্ত্র প্রণয়ন করতে হবে। এটি হবে সংসদীয় পদ্ধতির যুক্তরাষ্ট্র ব্যবস্থা। প্রাপ্ত বয়স্কদের সরাসরি ভোটে সকল নির্বাচন অনুষ্ঠিত হবে এবং আইনসভাগুলো হবে সার্বভৌম।
◉ দ্বিতীয় দফা ⎯ কেন্দ্রীয় সরকারের ক্ষমতা:
– শুধু দেশরক্ষা এবং পররাষ্ট্র বিষয় থাকবে কেন্দ্রীয় সরকারের হাতে। অবশিষ্ট সকল বিষয়ের ক্ষমতা থাকবে প্রাদেশিক সরকারের হাতে।
◉ তৃতীয় দফা ⎯ মুদ্রা বা অর্থ-সম্বন্ধীয় ক্ষমতা:
– দেশের দুই অংশে সহজেই বিনিময়যোগ্য অথচ পৃথক দুটো মুদ্রা থাকবে।
– অথবা ফেডারেল ব্যাংকের অধীনে দুই দেশের দুটি রিজার্ভ ব্যাংক ব্যবস্থাসহ একই ধরনের মুদ্রা চালু থাকবে।
◉ চতুর্থ দফা ⎯ রাজস্ব, কর বা শুল্ক সম্বন্ধীয় ক্ষমতা:
– আঞ্চলিক সরকারে হাতে থাকবে সকল প্রকার কর ধার্য করার ও আদায়ের ক্ষমতা। আদায়কৃত রাজস্বের একটি অংশ কেন্দ্রীয় সরকারকে দেয়া হবে ।
◉ পঞ্চম দফা ⎯ বৈদেশিক বাণিজ্য বিষয়ক ক্ষমতা:
– দুই অঞ্চলের বৈদেশিক মুদ্রার আলাদা আলাদা হিসাব থাকবে। প্রয়োজনে দুই অঞ্চল থেকে সমানভাবে অথবা সংবিধানে নির্ধারিত হারে কেন্দ্র বৈদেশিক মুদ্রা পাবে।
◉ ষষ্ঠ দফা ⎯ আঞ্চলিক সেনাবাহিনী গঠনের ক্ষমতা:
– অঙ্গরাজ্যগুলো আঞ্চলিক সেনাবাহিনী অর্থাৎ মিলিশিয়া ও প্যারা মিলিশিয়া বাহিনী গঠন ও পরিচালনা করতে পারবে।
উৎস:
i) বাংলাদেশ আওয়ামীলীগ ওয়বেসাইট
ii) ইতিহাস প্রথম পত্র, HSC Programme, বাংলাদেশ উন্মুক্ত বিশ্ববিদ্যালয়।
iii) মাধ্যমিক বাংলাদেশের ইতিহাস ও বিশ্বসভ্যতা বোর্ড বই।
প্রশ্ন ৪. বাংলার প্রাচীন জনপথ হরিকেল-এর বর্তমান নাম কী?
ক) সিলেট ও চট্টগ্রাম
খ) ঢাকা ও ময়মনসিংহ
গ) কুমিল্লা ও নোয়াখালী
ঘ) রাজশাহী ও রংপুর
সঠিক উত্তর: ক) সিলেট ও চট্টগ্রাম
ব্যাখ্যা:
◉ প্রাচীন বাংলার অন্যতম জনপদ হরিকেল – এর অন্তর্ভূক্ত অঞ্চল বর্তমানে সিলেট ও চট্টগ্রাম অঞ্চলে অবস্থিত।
– সুতরাং আলোচ্য প্রশ্নের ক্ষেত্রে সঠিক উত্তর ⎯ ক) সিলেট ও চট্টগ্রাম।
প্রাচীন জনপদ:
– প্রাচীন যুগে বাংলা বিভিন্ন জনপদে বিভক্ত ছিল এবং এই জনপদবাসীরাই স্ব-স্ব জনপদের নামেই পরিচিতি লাভ করে।
– প্রাচীন কাল থেকে আরম্ভ করে আনুমানিক ষষ্ঠ ও সপ্তম শতক পর্যন্ত প্রাচীন বাংলা ⎯ পুন্ড্রু, গৌড়, রাঢ়, সূহ্ম, তাম্রলিপ্ত, সমতট, বঙ্গ, বরেন্দ্র, চন্দ্রদ্বীপ ইত্যাদি জনপদে বিভক্ত ছিলো।
– এই জনপদগুলো স্বতন্ত্র ও পৃথক, মাঝে মাঝে বিরোধ মিলনে একের সাথে অন্যের যোগাযোগের বিষয়টি লক্ষ করা যায়।
– বাংলাদেশের প্রাচীন জনপদগুলোর নির্দিষ্ট সীমারেখা নির্ণয় করা বা যুগে যুগে তাদের সীমার বিস্তার ও সংকোচনের সঠিক তথ্য সংগ্রহ করা দুরূহ কাজ।
◉ হরিকেল:
– হরিকেল প্রাচীন পূর্ববঙ্গের একটি জনপদ।
– হরিকেল জনপদের কথা প্রথম জানা যায় প্রথম শতকের চট্টগ্রামে প্রাপ্ত লিপিতে। চন্দ্রবংশীয় লিপিতেও হরিকেল রাজ্যের কথা আছে।
– হরিকেল জনপদ ⎯ আধুনিক সিলেট থেকে পার্বত্য চট্টগ্রাম পর্যন্ত বিস্তৃত ছিল।
– ঢাকা বিশ্ববিদ্যালয়ের গ্রন্থাগারে সংরক্ষিত দুটি প্রাচীন গ্রন্থের পাণ্ডুলিপিতে হরিকোল (হরিকেল) ও বর্তমান সিলেট বিভাগ অভিন্ন বলে উল্লিখিত।
অন্যান্য জনপদের অবস্থান:
◉ পুন্ড্রু:
– প্রাচীন সভ্যতার নিদর্শনের দিক দিয়ে পুণ্ড্রই ছিল বাংলার সবচেয়ে প্রাচীন ও সমৃদ্ধ জনপদ।
– পুন্ড্রদের রাজ্যের রাজধানীর নাম পুন্ড্রনগর। বর্তমান বগুড়া শহরের অদূরে করতোয়া নদীর তীরে পুন্ড্রনগর অবস্থিত। পরবর্তী কালে এর নাম মহাস্থানগড় হয়।
– এ রাজ্যের বিস্তৃতি বর্তমান ⎯ বগুড়া, রংপুর, রাজশাহী ও দিনাজপুর পর্যন্ত ছিল।
◉ বঙ্গ:
– বৃহত্তর ফরিদপুর, বিক্রমপুর, বাখেরগঞ্জ, পটুয়াখালীর নিচু জলাভূমি নিয়ে ‘বঙ্গ’ জনপদ গঠিত হয়েছিল।
– এই অঞ্চলে বসবাসকারী ‘বঙ্গ’ জনগোষ্ঠী থেকে ‘বঙ্গ’ নামের উৎপত্তি ঘটেছে বলে ধারণা করা হয়।
◉ গৌড়:
– বৃহত্তর রংপুর, দিনাজপুর ও রাজশাহীর অংশবিশেষ নিয়ে গঠিত ছিলো
◉ রাঢ়:
– রাঢ় জনপদের অবস্থান ছিলো বর্তমান পশ্চিমবঙ্গে।
◉ সমতট:
– বর্তমান বৃহত্তর নোয়াখালী ও কুমিল্লা অঞ্চল জুড়ে বিস্তৃত ছিলো।
◉ বরেন্দ্র:
– বর্তমান রাজশাহী, রংপুর ও দিনাজপুর অঞ্চল জুড়ে বিরাজমান ছিলো।
◉ চন্দ্রদ্বীপ:
– বর্তমান বরিশাল অঞ্চলে চন্দ্রদ্বীপ নামক একটি জনপদের সৃষ্টি হয়েছিল। এ জনপদটি বালেশ্বর ও মেঘনার মধ্যবর্তী স্থানে অবস্থিত।
◉ তাম্রলিপ্ত:
– বর্তমান ভারতের মেদিনীপুর জেলার তমলুকই ছিল তাম্রলিপ্তের প্রাণকেন্দ্র। সপ্তম শতক থেকে এটি দণ্ডভুক্তি নামে পরিচিত হতে থাকে।
উৎস:
i) বাংলাদেশের ইতিহাস ও বিশ্বসভ্যতা, SSC Programe, উন্মুক্ত উন্মুক্ত বিশ্ববিদ্যালয়।
ii) বাংলাপিডিয়া
iii) প্রত্নতত্ত্ব বিভাগ ওয়েবসাইট
প্রশ্ন ৫. বাংলাদেশের কোন বিভাগে জনসংখ্যার ঘনত্ব সবচেয়ে কম?
ক) সিলেট
খ) খুলনা
গ) বরিশাল
ঘ) চট্টগ্রাম
সঠিক উত্তর: গ) বরিশাল
ব্যাখ্যা:
◉ জনশুমারি ও গৃহগণনা ⎯ ২০২২ এর চূড়ান্ত রিপোর্ট অনুসারে, বরিশাল বিভাগে জনসংখ্যার ঘনত্ব সবচেয়ে কম।
– বরিশাল বিভাগে প্রতি কিলোমিটারে গড়ে ৬৮৮ জন মানুষ বসবাস করে।
জনশুমারি ও গৃহগণনা ⎯ ২০২২:
– বাংলাদেশ পরিসংখ্যান ব্যুরো (BBS) জনশুমারি পরিচালনা করে। ২০২২ সালের ষষ্ঠ জন শুমারি দেশের প্রথম ডিজিটাল জনশুমারি।
– ষষ্ঠ জনশুমারি ও গৃহগণনা – ২০২২ অনুষ্ঠিত হয় ⎯ ২০২২ সালের ১৫ – ২১ জুন।
– শুমারিতে Computer Assisted Personal Interviewing (CAPI) পদ্ধতি অনুসরণ করে তথ্য সংগ্রহ করা হয়েছে।
– গণনায় মোডিফাইড ডি-ফ্যাক্টো (Modified De-facto) পদ্ধতি অনুসরণ করা হয়েছে
জনশুমারি ও গৃহগণনা ⎯ ২০২২ -এর চূড়ান্ত রিপোর্ট অনুসারে কিছু গুরুত্বপূর্ণ তথ্য:
➝ মোট জনসংখ্যা ⎯ ১৬ কোটি ৯৮ লাখ ২৮ হাজার ৯১১ জন।
➝ জনসংখ্যা বৃদ্ধির হার ⎯ ১.১২% ও প্রতি কিলোমিটারে জনসংখ্যার ঘনত্ব ⎯ ১,১১৯ জন।
◉ জনসংখ্যার ঘনত্ব সবচেয়ে বেশি ⎯
➝ বিভাগ ⎯ ঢাকা বিভাগ; প্রতি কিলোমিটারে বসবাস ⎯ ২১৫৬ জন।
➝ জেলা ⎯ ঢাকা জেলা; প্রতি কিলোমিটারে বসবাস ⎯ ১০,০৬৭ জন।
◉ জনসংখ্যার ঘনত্ব সবচেয়ে কম ⎯
➝ বিভাগ ⎯ বরিশাল বিভাগ; প্রতি কিলোমিটারে বসবাস ⎯ ৬৮৮ জন।
➝ জেলা ⎯ রাঙ্গামাটি জেলা; প্রতি কিলোমিটারে বসবাস ⎯ ১০৬ জন।
– সবচেয়ে বেশি মানুষ বাস করে ⎯ ঢাকা বিভাগে; মোট জনসংখ্যা ⎯ ৪৫,৬৪৪,৫৮৬ জন।
– সবচেয়ে কম মানুষ বাস করে ⎯ বরিশাল বিভাগে; মোট জনসংখ্যা ⎯ ৯,৩২৫,৮২০ জন।
উৎস: পরিসংখ্যান ব্যুরোর ওয়েবসাইট ও জনশুমারি ও গৃহগণনা ⎯ ২০২২ এর চূড়ান্ত রিপোর্ট।
প্রশ্ন ৬. ট্রেডিং কর্পোরেশন অব বাংলাদেশ কোন মন্ত্রণালয়ের আওতাভুক্ত?
ক) পরিকল্পনা
খ) শিল্প
গ) বাণিজ্য
ঘ) অর্থ
সঠিক উত্তর: গ) বাণিজ্য
প্রশ্ন ৭. বাংলাদেশ সরকার কোন উৎস থেকে সর্বোচ্চ রাজস্ব আয় করে?
ক) ভূমি রাজস্ব
খ) মূল্য সংযোজন কর
গ) আয়কর
ঘ) আমদানি শুল্ক
সঠিক উত্তর: খ) মূল্য সংযোজন কর
প্রশ্ন ৮. মারমাদের সবচেয়ে বড় উৎসবের নাম কী?
ক) বিজু
খ) রাশ
গ) সাংগ্রাই
ঘ) বাইশু
সঠিক উত্তর: গ) সাংগ্রাই
প্রশ্ন ৯. বিশ্বকাপ ক্রিকেট ২০২৩-এ বাংলাদেশের কোন খেলোয়াড় সর্বোচ্চ রান করেন?
ক) লিটন দাস
খ) মুশফিকুর রহিম
গ) সাকিব আল হাসান
ঘ) মাহমুদুল্লাহ রিয়াদ
সঠিক উত্তর: ঘ) মাহমুদুল্লাহ রিয়াদ
প্রশ্ন ১০. বাংলাদেশের পররাষ্ট্র নীতি সংক্রান্ত নির্দেশনা সংবিধানের কত অনুচ্ছেদে উল্লেখ করা হয়েছে?
ক) ২৫
খ) ২৬
গ) ২৭
ঘ) ২৮
সঠিক উত্তর: ক) ২৫
প্রশ্ন ১১. মাতৃপ্রধান পরিবার ব্যবস্থার প্রচলন কোন জাতীসত্ত্বায় রয়েছে?
ক) গারো
খ) সাওতাল
গ) মনিপুরি
ঘ) চাকমা
সঠিক উত্তর: ক) গারো
প্রশ্ন ১২. অ্যাটর্নি জেনারেল রাষ্ট্রের কোন অংশের কর্মকর্তা?
ক) প্রধানমন্ত্রীর কার্যালয়
খ) বিচার বিভাগ
গ) নির্বাহী বিভাগ
ঘ) মন্ত্রীপরিষদ বিভাগ
সঠিক উত্তর: গ) নির্বাহী বিভাগ
প্রশ্ন ১৩. বাংলাদেশে কোন নদী কার্পজাতীয় মাছের রেণুর প্রধান উৎস?
ক) সালদা
খ) হালদা
গ) পদ্মা
ঘ) কুমার
সঠিক উত্তর: খ) হালদা
প্রশ্ন ১৪. ব-দ্বীপ পরিকল্পনা ২১০০-এ কয়টি ভৌগোলিক হটস্পট নির্ধারণ করা হয়েছে?
ক) ৬
খ) ৭
গ) ৮
ঘ) ৯
সঠিক উত্তর: ক) ৬
প্রশ্ন ১৫. বাংলাদেশের সংবিধান প্রণয়ন কমিটির একমাত্র নারী সদস্য কে ছিলেন?
ক) সাজেদা চৌধুরী
খ) নুরজাহান মোর্শেদ
গ) রাফিয়া আক্তার ডলি
ঘ) রাজিয়া বানু
সঠিক উত্তর: ঘ) রাজিয়া বানু
প্রশ্ন ১৬. কৃষ্ণগহ্বর নিয়ে কোন বাঙালি বিজ্ঞানী গবেষণা করেছেন?
ক) কুদরত-ই-খুদা
খ) কাজী মোতাহার হোসেন
গ) জামাল নজরুল ইসলাম
ঘ) আব্দুল মতিন চৌধুরী
সঠিক উত্তর: গ) জামাল নজরুল ইসলাম
প্রশ্ন ১৭. কোন ক্ষেত্রে অবদানের জন্য প্রধানমন্ত্রী শেখ হাসিনা ২০১৬ সালে প্ল্যানেট ৫০-৫০ চ্যাম্পিয়ন পদক পান?
ক) মানবাধিকার
খ) নারীর ক্ষমতায়ন
গ) শিশু মৃত্যুহার হ্রাস
ঘ) মাতৃ মৃত্যুহার হ্রাস
সঠিক উত্তর: খ) নারীর ক্ষমতায়ন
প্রশ্ন ১৮. বাংলাদেশের ২য় প্রেক্ষিত পরিকল্পনার মেয়াদ কবে শেষ হবে?
ক) ২০৩১
খ) ২০৩৫
গ) ২০৪১
ঘ) ২০৪৫
সঠিক উত্তর: গ) ২০৪১
প্রশ্ন ১৯. ২০২২-২৩ অর্থবছরে বাংলাদেশ কোন দেশ থেকে পণ্য রপ্তানি বাবদ সবচেয়ে বেশি আয় করেছে?
ক) যুক্তরাষ্ট্র
খ) যুক্তরাজ্য
গ) জার্মানী
ঘ) স্পেন
সঠিক উত্তর: ক) যুক্তরাষ্ট্র
প্রশ্ন ২০. বাংলাদেশের নবীনতম নদী কোনটি?
ক) পদ্মা
খ) যমুনা
গ) জিঞ্জিরাম
ঘ) মেঘনা
সঠিক উত্তর: খ) যমুনা
প্রশ্ন ২১. ‘মুজিব: একটি জাতির রূপকার’ চলচ্চিত্রের পরিচালক কে?
ক) গুরু দত্ত
খ) শিবু সিরিল
গ) শ্যাম বেনেগাল
ঘ) বিশাল ভরদ্বাজ
সঠিক উত্তর: গ) শ্যাম বেনেগাল
প্রশ্ন ২২. বঙ্গবন্ধু শেখ মুজিবুর রহমান জাতিসংঘের সাধারণ পরিষদে ১৯৭৪ সালের কোন মাসে বাংলায় বক্তৃতা দেন?
ক) সেপ্টেম্বর
খ) অক্টোবর
গ) নভেম্বর
ঘ) ডিসেম্বর
সঠিক উত্তর: ক) সেপ্টেম্বর
প্রশ্ন ২৩. The Foreshadowing of Bangladesh গবেষণা গ্রন্থটির লেখক কে?
ক) রেহমান সোবহান
খ) আনিসুর রহমান
গ) নুরুল ইসলাম
ঘ) হারুন-অর-রশিদ
সঠিক উত্তর: ঘ) হারুন-অর-রশিদ
প্রশ্ন ২৪. বাংলাদেশের প্রথম রাষ্ট্রপতি কে?
ক) বঙ্গবন্ধু শেখ মুজিবুর রহমান
খ) সৈয়দ নজরুল ইসলাম
গ) তাজউদ্দীন আহমেদ
ঘ) বিচারপতি আবু সাঈদ চৌধুরী
সঠিক উত্তর: ক) বঙ্গবন্ধু শেখ মুজিবুর রহমান
প্রশ্ন ২৫. দ্বাদশ জাতীয় সংসদ নির্বাচনে ভোটার উপস্থিতির হার কত শতাংশ ছিল?
ক) ৪০.৮
খ) ৪০.৯
গ) ৪১.৬
ঘ) ৪১.৮
সঠিক উত্তর: ঘ) ৪১.৮
প্রশ্ন ২৬. বাংলাদেশ সংবিধানের কত নম্বর অনুচ্ছেদ অনুযায়ী রাষ্ট্রপতি প্রধান বিচারপতি নিয়োগ দেন?
ক) ৯৫
খ) ৯৬
গ) ৯৭
ঘ) ৯৮
সঠিক উত্তর: ক) ৯৫
প্রশ্ন ২৭. ১৯৫৪ সালের নির্বাচনে যুক্তফ্রন্ট কতটি আসনে জয়লাভ করেছিল?
ক) ২১৯
খ) ২২১
গ) ২২৩
ঘ) ২২৫
সঠিক উত্তর: গ) ২২৩
প্রশ্ন ২৮. বাংলাদেশ সর্বাধিক জনশক্তি রপ্তানি করে কোন দেশে?
ক) সংযুক্ত আরব আমিরাত
খ) সৌদিআরব
গ) কুয়েত
ঘ) মালয়েশিয়া
সঠিক উত্তর: খ) সৌদিআরব
প্রশ্ন ২৯. কতজন নারী ২০২৩ সালে বেগম রোকেয়া পদক পেয়েছেন?
ক) ৩
খ) ৪
গ) ৫
ঘ) ৬
সঠিক উত্তর: গ) ৫
প্রশ্ন ৩০. বাংলাদেশ প্রথম ওয়ানডে এবং টেস্ট সিরিজ জয় করে কোন দেশের বিপক্ষে?
ক) পাকিস্তান
খ) দক্ষিণ আফ্রিকা
গ) ভারত
ঘ) জিম্বাবুয়ে
সঠিক উত্তর: ঘ) জিম্বাবুয়ে
প্রশ্ন ৩১. নিচের কোন ভগ্নাংশটি ২/৩ হতে বড়?
ক) ৩৩/৫০
খ) ৮/১১
গ) ৩/৫
ঘ) ১৩/২৭
সঠিক উত্তর: খ) ৮/১১
প্রশ্ন ৩২. বার্ষিক ৫% হার মুনাফায় ৪০০ টাকার ২ বছরের চক্রবৃদ্ধি মূলধন কত?
ক) ৪৪০ টাকা
খ) ৪৪১ টাকা
গ) ৪৪৫ টাকা
ঘ) ৪৫০ টাকা
সঠিক উত্তর: খ) ৪৪১ টাকা
প্রশ্ন ৩৩. ১০০ হতে বড় দুইটি পূর্ণসংখ্যার যোগফল ৩০০ হলে, সংখ্যা দুইটির অনুপাত কত?
ক) ১ : ৯
খ) ২ : ৫
গ) ২ : ৩
ঘ) ৩ : ৫
সঠিক উত্তর: গ) ২ : ৩
প্রশ্ন ৩৪. x2 – 7x + 12 ≤ 0 এর সমাধান সেট –
ক) (- ∞, 3]খ) (3, 4)
গ) [3, 4]ঘ) [4, ∞)
সঠিক উত্তর: গ) [3, 4]
প্রশ্ন ৩৫. x2 + y2 + z2 = 2, xy + yz + zx = 1 হলে, (x + 2y)2 + (y + 2z)2 + (z + 2x)2 এর মান-
ক) 12
খ) 19
গ) 16
ঘ) 14
সঠিক উত্তর: ঘ) 14
প্রশ্ন ৩৬. 3x – y = 3, 5x + y = 21 হলে (x, y) এর মান-
ক) (2, 5)
খ) (2, 6)
গ) (3, 5)
ঘ) (3, 6)
সঠিক উত্তর: ঘ) (3, 6)
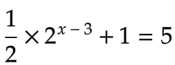
প্রশ্ন ৩৭.

হলে x এর মান কত?
ক) 3
খ) 4
গ) 5
ঘ) 6
সঠিক উত্তর: ঘ) 6
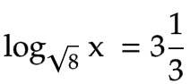
প্রশ্ন ৩৮.

হলে x এর মান কত?
ক) 32
খ) 8
গ) 3
ঘ) √8
সঠিক উত্তর: ক) 32
প্রশ্ন ৩৯. ১ হতে বড় ১০০০ এর মধ্যে কতগুলো সংখ্যা আছে যারা ১৬ দ্বারা বিভাজ্য নয় কিন্তু ৩০ দ্বারা বিভাজ্য?
ক) 33
খ) 35
গ) 37
ঘ) 41
সঠিক উত্তর: “বাতিল করা হয়েছে”
প্রশ্ন ৪০. একটি সিলিন্ডারের বৃত্তীয় তলের ব্যাসার্ধ ২ সে মি এবং উচ্চতা ৬ সে মি হলে, উহার তলগুলির মোট ক্ষেত্রফল কত?
ক) ১৬π বর্গ সেমি
খ) ৩২π বর্গ সেমি
গ) ৩৬π বর্গ সেমি
ঘ) ৪৮π বর্গ সেমি
সঠিক উত্তর: খ) ৩২π বর্গ সেমি
প্রশ্ন ৪১. কোনো একটি ত্রিভুজের দুইটি কোণের পরিমাণ ২৮° ও ৬২°। ত্রিভুজটি কোন ধরনের?
ক) সমকোণী
খ) সূক্ষ্মকোণী
গ) স্থূলকোণী
ঘ) সমদ্বিবাহু সমকোণী
সঠিক উত্তর: ক) সমকোণী
প্রশ্ন ৪২. 4 সেমি বাহুবিশিষ্ট বর্গক্ষেত্রে পরিলিখিত বৃত্তের ক্ষেত্রফল কত?
ক) 8π বর্গসেমি
খ) 6π বর্গসেমি
গ) 4π বর্গসেমি
ঘ) 2√2 π বর্গসেমি
সঠিক উত্তর: ক) 8π বর্গসেমি
প্রশ্ন ৪৩. CONIC শব্দটির অক্ষরগুলো নিয়ে গঠিত বিন্যাস সংখ্যা কত?
ক) 24
খ) 40
গ) 60
ঘ) 120
সঠিক উত্তর: গ) 60
প্রশ্ন ৪৪. যদি A = {x : x হলো 5, 7 দ্বারা বিভাজ্য এবং x < 150} হয় তবে P(A) এর সদস্য সংখ্যা কত?
ক) 8
খ) 12
গ) 14
ঘ) 16
সঠিক উত্তর: ঘ) 16
প্রশ্ন ৪৫. একটি থলিতে 5টি নীল, 10টি সাদা, 20টি কালো বল আছে। দৈব চয়নের মাধ্যমে একটি বল তুললে সেটি সাদা না হওয়ার সম্ভাবনা কত?
ক) 3/10
খ) 5/7
গ) 7/5
ঘ) 7/10
সঠিক উত্তর: খ) 5/7
প্রশ্ন ৪৬. একজন লোক উত্তর-পশ্চিম দিকে মুখ করে আছে। সে ঘড়ির কাঁটার দিকে ৯০° ঘুরে, তারপরে ঘড়ির কাঁটার বিপরীত দিকে ১৮০° ঘুরে এবং তারপর একই দিকে আরো ৯০° ঘুরে। এখন সে কোন দিকে মুখ করে আছে?
ক) দক্ষিণ
খ) দক্ষিণ-পশ্চিম
গ) দক্ষিণ-পূর্ব
ঘ) পূর্ব
সঠিক উত্তর: গ) দক্ষিণ-পূর্ব
প্রশ্ন ৪৭. নিম্নের শব্দগুলো অভিধানে যে ক্রমে আছে সেভাবে সাজান;
(১) Protect (২) Pragmatic
(৩) Pastel (8) Postal
(৫) Pebble
ক) ৪৩৫২১
খ) ৩৫৪২১
গ) ৩৪৫১২
ঘ) ৪৩৫১২
সঠিক উত্তর: খ) ৩৫৪২১
প্রশ্ন ৪৮. একটি ছবিতে একজন পুরুষের দিকে ইঙ্গিত করে একজন মহিলা বলেন, ‘তার ভাইয়ের বাবা আমার দাদার একমাত্র ছেলে।’ ছবির পুরুষের সঙ্গে উক্ত মহিলার সম্পর্ক কী?
ক) মা
খ) খালা
গ) বোন
ঘ) কন্যা
সঠিক উত্তর: গ) বোন
প্রশ্ন ৪৯. যদি E = 10, J = 20, O = 30 এবং T = 40 হয়, তাহলে B + E + S + T =?
ক) ৭১
খ) ৮২
গ) ৯০
ঘ) ৯২
সঠিক উত্তর: ঘ) ৯২
প্রশ্ন ৫০. নিচের কোন শব্দটি অন্যদের থেকে আলাদা?
ক) Kiwi
খ) Eagle
গ) Emu
ঘ) Ostrich
সঠিক উত্তর: খ) Eagle
প্রশ্ন ৫১. একজন মহিলা বলছেন, ‘আপনি যদি আমার নিজের বয়সকে উল্টে দেন তাহলে তা আমার স্বামীর বয়সকে নির্দেশ করে। তিনি আমার থেকে বয়সে বড় এবং আমাদের বয়সের পার্থক্য আমাদের মোট বয়সের যোগফলের এগারো ভাগের একভাগ।’ মহিলার বয়স কত?
ক) ২৩ বছর
খ) ৩৪ বছর
গ) ৪৫ বছর
ঘ) কোনোটিই নয়
সঠিক উত্তর: গ) ৪৫ বছর
প্রশ্ন ৫২. যদি একটি কামান থেকে নিম্নলিখিত ৪টি বস্তুকে অনুভূমিক ভাবে নিক্ষেপ করা হয়, তবে কোনটি সবচেয়ে বেশি দূরে উড়ে যাবে?
ক)

খ)

গ)

ঘ)

সঠিক উত্তর: গ)

প্রশ্ন ৫৩. একটি সভায় ১৫ জন লোক রয়েছে এবং তারা সকলেই সভা শেষে একে অপরের সাথে করমর্দন করে। মোট কতটি করমর্দন হবে?
ক) ২১০
খ) ১০৫
গ) ২২৫
ঘ) ১৯৬
সঠিক উত্তর: খ) ১০৫
প্রশ্ন ৫৪. সেই জুটি নির্বাচন করুন যা-
‘Children : pediatrician’ জুটির মধ্যে প্রকাশিত সম্পর্কটির মতো একটি সম্পর্ককে সর্বোত্তমভাবে প্রকাশ করে।
ক) Adult : Orthopedist
খ) Kidney : Nephrologist
গ) Females : Gynecologist
ঘ) Skin : Darmatologist
সঠিক উত্তর: গ) Females : Gynecologist
প্রশ্ন ৫৫. কোন চিত্রটি সিরিজটি সম্পূর্ণ করে?

ক)

খ)

গ)

ঘ)

সঠিক উত্তর: ক)

প্রশ্ন ৫৬. নিম্নের প্রশ্নবোধক চিহ্নে কোন সংখ্যাটি বসবে?

ক) ৮০
খ) ১১৪
গ) ১০৮
ঘ) কোনটিই নয়
সঠিক উত্তর: গ) ১০৮
প্রশ্ন ৫৭. সঠিক বানান কোনটি, চিহ্নিত করুন।
ক) Consciencious
খ) Conscienctious
গ) Consciencitious
ঘ) Conscientious
সঠিক উত্তর: ঘ) Conscientious
প্রশ্ন ৫৮. একটি কমিটিতে পুরুষ এবং মহিলার সংখ্যা একটি অনুপাতে ৩ : ২ হলে এবং মহিলা সংখ্যা ২৫ জন হলে পুরুষের সংখ্যা কত?
ক) ৩০
খ) ৩৫
গ) ৪০
ঘ) ৪৫
সঠিক উত্তর: “বাতিল করা হয়েছে”
প্রশ্ন ৫৯. ‘Ubiquitous’ শব্দটির সমার্থক শব্দ কোনটি চিহ্নিত করুন।
ক) Scarce
খ) Abundant
গ) Widespread
ঘ) Limited
সঠিক উত্তর: গ) Widespread
প্রশ্ন ৬০. পাঁচটি ধারাবাহিক পূর্ণসংখ্যার গড় হলো ১৫ সবচেয়ে বড় পূর্ণ সংখ্যা কত?
ক) ১৮
খ) ২০
গ) ২২
ঘ) ২৪
সঠিক উত্তর: “বাতিল করা হয়েছে”
প্রশ্ন ৬১. ‘Animal Liberation’ গ্রন্থটির রচয়িতা কে?
ক) হেগেল
খ) কান্ট
গ) বেন্থাম
ঘ) পিটার সিঙ্গার
সঠিক উত্তর: ঘ) পিটার সিঙ্গার
প্রশ্ন ৬২. কোন শ্রেণির ক্রিয়া নীতিবিদ্যার আলোচ্য বিষয়ের অন্তর্ভুক্ত?
ক) নৈতিকতা-নিরপেক্ষ ক্রিয়া
খ) সামাজিক ক্রিয়া
গ) ঐচ্ছিক ক্রিয়া
ঘ) ইচ্ছা-নিরপেক্ষ ক্রিয়া
সঠিক উত্তর: গ) ঐচ্ছিক ক্রিয়া
প্রশ্ন ৬৩. বাংলাদেশের ‘নব্য-নৈতিকতার’ প্রবর্তক হলেন-
ক) মোহাম্মদ বরকতুল্লাহ
খ) জি. সি. দেব
গ) আরজ আলী মাতুব্বর
ঘ) আব্দুল মতীন
সঠিক উত্তর: গ) আরজ আলী মাতুব্বর
প্রশ্ন ৬৪. নিচের কোনটি সুশাসনের মূলনীতি?
ক) স্বচ্ছতা ও জবাবদিহিতা
খ) কর্তৃত্ববাদী শাসন
গ) কেন্দ্রীভূত সিদ্ধান্ত গ্রহণ
ঘ) স্বজন প্রীতি ও পক্ষপাতিত্ব
সঠিক উত্তর: ক) স্বচ্ছতা ও জবাবদিহিতা
প্রশ্ন ৬৫. “মানুষ হও এবং মরে বাঁচ।” – এটি কার উক্তি?
ক) প্লেটো
খ) হেগেল
গ) জি. ই. ম্যূর
ঘ) রাসেল
সঠিক উত্তর: খ) হেগেল
প্রশ্ন ৬৬. জাতীয় শুদ্ধাচার কৌশল নীতিমালা কত সালে পাশ হয়?
ক) ২০১০
খ) ২০১১
গ) ২০১২
ঘ) ২০১৮
সঠিক উত্তর: গ) ২০১২
প্রশ্ন ৬৭. “দর্শন হচ্ছে ধর্ম ও বিজ্ঞানের মধ্যবর্তী এক অনধিকৃত প্রদেশ।” – উক্তিটি কে করেছেন?
ক) আর. বি. পেরি
খ) প্লেটো
গ) সি. ডি. ব্রড
ঘ) বার্ট্রান্ড রাসেল
সঠিক উত্তর: ঘ) বার্ট্রান্ড রাসেল
প্রশ্ন ৬৮. ‘সুশাসন চারটি স্তম্ভের উপর নির্ভরশীল’ -এই অভিমত কোন সংস্থা প্রকাশ করে?
ক) জাতিসংঘ
খ) জাতিসংঘের উন্নয়ন কর্মসূচি
গ) বিশ্বব্যাংক
ঘ) এশিয়া উন্নয়ন ব্যাংক
সঠিক উত্তর: গ) বিশ্বব্যাংক
প্রশ্ন ৬৯. নিচের কোনটি ‘SMART Bangladesh’ এর উপাদান?
ক) Smart Democracy
খ) Smart Politics
গ) Smart Society
ঘ) Smart Parliament
সঠিক উত্তর: গ) Smart Society
প্রশ্ন ৭০. ‘Republic’ গ্রন্থটির রচয়িতা কে?
ক) বার্কলে
খ) জন লক
গ) ডেকার্ট
ঘ) প্লেটো
সঠিক উত্তর: ঘ) প্লেটো
প্রশ্ন ৭১. নিচের কোনটি গ্রীনহাউজ গ্যাস নয়?
ক) জলীয় বাষ্প (H2O)
খ) কার্বন ডাইঅক্সাইড (CO2)
গ) মিথেন (CH4)
ঘ) নাইট্রিক অক্সাইড (NO)
সঠিক উত্তর: ঘ) নাইট্রিক অক্সাইড (NO)
প্রশ্ন ৭২. জলীয় দ্রবণে pH এর সর্বোচ্চ মান কোনটি?
ক) ৭
খ) ১০
গ) ১৪
ঘ) ২০
সঠিক উত্তর: গ) ১৪
প্রশ্ন ৭৩. কোন অর্গানেলটি পর্দা দ্বারা আবেষ্টিত থাকে না?
ক) রাইবোসোম
খ) ক্লোরোপ্লাস্ট
গ) মাইটোকন্ড্রিয়া
ঘ) পারোক্সিসোম
সঠিক উত্তর: ক) রাইবোসোম
প্রশ্ন ৭৪. প্রাকৃতিক ইউরেনিয়ামে শতকরা কতভাগ 238U আইসোটোপ থাকে?
ক) 50%
খ) 99.3%
গ) 0%
ঘ) 69.3%
সঠিক উত্তর: খ) 99.3%
প্রশ্ন ৭৫. জীববিজ্ঞানে কী ধরনের তথ্য প্রযুক্তি ব্যবহার করা হয়?
ক) বায়োইনফরমেটিক্স
খ) বায়োমেট্রিক্স
গ) বায়োকেমিস্ট্রি
ঘ) কোনটিই নয়
সঠিক উত্তর: ক) বায়োইনফরমেটিক্স
প্রশ্ন ৭৬. গমের মোজাইক ভাইরাস কীভাবে ছড়ায়?
ক) ইদুঁরের মাধ্যমে
খ) মাইটের মাধ্যমে
গ) বাতাসের মাধ্যমে
ঘ) পাখির মাধ্যমে
সঠিক উত্তর: খ) মাইটের মাধ্যমে
প্রশ্ন ৭৭. এন্টিবডি তৈরি করে নিচের কোনটি?
ক) Red blood corpuscle
খ) Thrombocyte
গ) B Lymphocyte
ঘ) Monocyte
সঠিক উত্তর: গ) B Lymphocyte
প্রশ্ন ৭৮. অত্যাবশ্যকীয় অ্যামাইনো এসিড কোনটি?
ক) গ্লাইসিন (Glycine)
খ) সেরিন (Serine)
গ) সিস্টিন (Cistine)
ঘ) ভ্যালিন (Valine)
সঠিক উত্তর: ঘ) ভ্যালিন (Valine)
প্রশ্ন ৭৯. প্রকৃতিতে মৌলিক বল কয়টি?
ক) 2 টি
খ) 3 টি
গ) 4 টি
ঘ) 5 টি
সঠিক উত্তর: গ) 4 টি
প্রশ্ন ৮০. জেমস্ ওয়েব টেলিস্কোপ কোন ধরনের রেডিয়েশন ব্যবহার করে?
ক) Ultra-violet
খ) Infrared
গ) Visible
ঘ) X-ray
সঠিক উত্তর: খ) Infrared
প্রশ্ন ৮১. কোনটি আলোর প্রাথমিক রং হিসাবে বিবেচনা করা হয় না?
ক) সবুজ
খ) নীল
গ) লাল
ঘ) হলুদ
সঠিক উত্তর: ঘ) হলুদ
প্রশ্ন ৮২. রক্ত জমাট বাঁধার জন্য প্রয়োজনীয় ভিটামিনটি হল-
ক) Vitamin K
খ) Vitamin A
গ) Vitamin B
ঘ) Vitamin C
সঠিক উত্তর: ক) Vitamin K
প্রশ্ন ৮৩. ফোটন শক্তি ‘E’ এর সমীকরণটি হল-
ক) hλ/c
খ) hc/λ
গ) cλ/h
ঘ) chλ
সঠিক উত্তর: খ) hc/λ
প্রশ্ন ৮৪. দ্বিপদ নামকরণে দ্বিতীয় নামটি নির্দেশ করে-
ক) প্রজাতি
খ) বর্গ
গ) রাজ্য
ঘ) শ্রেণি
সঠিক উত্তর: ক) প্রজাতি
প্রশ্ন ৮৫. ধাতব কার্বোনেটের সাথে এসিডের বিক্রিয়ায় উৎপন্ন হয়-
ক) লবণ
খ) পানি
গ) কার্বন ডাইঅক্সাইড
ঘ) সবগুলো
সঠিক উত্তর: ঘ) সবগুলো
প্রশ্ন ৮৬. Windows অপারেটিং সিস্টেম সম্পর্কিত নিম্নের কোন তথ্যটি সঠিক?
ক) এটি মাল্টি টাস্কিং অপারেটিং সিস্টেম
খ) এটি Open source অপারেটিং সিস্টেম
গ) ক এবং খ উভয়ই সত্য
ঘ) কোনোটিই সত্য নয়
সঠিক উত্তর: ক) এটি মাল্টি টাস্কিং অপারেটিং সিস্টেম
প্রশ্ন ৮৭. নিচের কোনটি কম্পিউটার মেমোরি হিসেবে দ্রুততম?
ক) RAM
খ) Hard Disk
গ) ROM
ঘ) Register
সঠিক উত্তর: ঘ) Register
প্রশ্ন ৮৮. নিচের কোনটি কম্পিউটার সিস্টেমের কর্মক্ষমতায় কোনো ভূমিকা রাখে না?
ক) Size of RAM
খ) Size of ROM
গ) Size of Cache Memory
ঘ) Size of Register
সঠিক উত্তর: খ) Size of ROM
প্রশ্ন ৮৯. নিচের কোনটি অক্টাল সংখ্যা (২৪)৮ এর সঠিক বাইনারি রূপ?
ক) (111 101)2
খ) (010 100)2
গ) (111 100)2
ঘ) (101 010)2
সঠিক উত্তর: খ) (010 100)2
প্রশ্ন ৯০. একটি অপারেটিং সিস্টেম একজন ব্যক্তিকে বিভিন্ন symbols, icon অথবা visual metaphor এর মাধ্যমে কম্পিউটারের সাথে সংযোগ স্থাপনে ভূমিকা পালন করে। নিচের কোনটি এ শ্রেণির কাজকে নির্দেশ করে?
ক) Command-Line Interface
খ) Graphical User Interface
গ) Block User Interface
ঘ) Tap User Interface
সঠিক উত্তর: খ) Graphical User Interface
প্রশ্ন ৯১. নিচের কোন বিবৃতিটি কম্পাইলার সম্পর্কিত সঠিক?
ক) এটি Interpreter-এর চেয়ে অনুবাদ করতে বেশি সময় লাগে
খ) এটি প্রতি লাইন প্রোগ্রাম পড়ে এবং অনুবাদ করে
গ) এটি একবারে পুরো প্রোগ্রাম অনুবাদ করে
ঘ) এটি মেশিন প্রোগ্রামকে সোর্স প্রোগ্রামে রূপান্তর করে
সঠিক উত্তর: গ) এটি একবারে পুরো প্রোগ্রাম অনুবাদ করে
প্রশ্ন ৯২. নিচের কোনটি সোস্যাল মিডিয়া প্ল্যাটফর্ম নয়?
ক) Facebook
খ) Instagram
গ) Twitter
ঘ) Google
সঠিক উত্তর: ঘ) Google
প্রশ্ন ৯৩. Cellular Data Network এর ক্ষেত্রে GPRS বলতে কী বুঝায়?
ক) Global Positioning Radio Service
খ) General Positioning Radio Service
গ) Global Packet Radio Service
ঘ) General Packet Radio Service
সঠিক উত্তর: ঘ) General Packet Radio Service
প্রশ্ন ৯৪. বাহিরের আক্রমণ থেকে প্রাইভেট নেটওয়ার্ক রক্ষার্থে নিচের কোনটি ব্যবহৃত হয়?
ক) Antivirus
খ) Digital Signature
গ) Encryption
ঘ) Firewall
সঠিক উত্তর: ঘ) Firewall
প্রশ্ন ৯৫. নিচের কোনটি সার্চ ইঞ্জিন নয়?
ক) Bing
খ) Google
গ) Yahoo
ঘ) Safari
সঠিক উত্তর: ঘ) Safari
প্রশ্ন ৯৬. ইন্টারনেট জগতে hyper-linked document গুলোর কালেকশানকে কী বলে?
ক) HTML
খ) Email
গ) WWW
ঘ) DWS
সঠিক উত্তর: গ) WWW
প্রশ্ন ৯৭. গ্রাহকের চাহিদা অনুযায়ী, ইউটিলিটি-ভিত্তিক কম্পিউটিং পরিষেবা প্রদানের জন্য কোন প্রযুক্তিটি Distributed Computing এর একটি দৃষ্টান্ত?
ক) Remote Sensing
খ) Cloud Computing
গ) Remote Invocation
ঘ) Private Computing
সঠিক উত্তর: খ) Cloud Computing
প্রশ্ন ৯৮. নিচের কোন নেটওয়ার্কটি সবচেয়ে বেশি জায়গা ব্যাপ্তি হয়?
ক) LAN
খ) WAN
গ) MAN
ঘ) PAN
সঠিক উত্তর: খ) WAN
প্রশ্ন ৯৯. নিচের কোন প্রযুক্তি Face Recognition সিস্টেমে ব্যবহার করা হয়?
ক) Applied Al
খ) Applied I0T
গ) Virtual Reality
ঘ) কোনোটিই নয়
সঠিক উত্তর: ক) Applied Al
প্রশ্ন ১০০. নেটওয়ার্ক ট্রান্সমিশন রেট বোঝাতে ব্যবহৃত ‘MbPS’ এর পূর্ণরূপ কী?
ক) Megabytes per second
খ) Megabits per second
গ) Milibits per second
ঘ) কোনোটিই নয়
সঠিক উত্তর: খ) Megabits per second
প্রশ্ন ১০১. কোন দিনটি বিশ্ব শরণার্থী দিবস হিসেবে পালিত হয়?
ক) ৫ জুন
খ) ১০ জুন
গ) ২০ জুন
ঘ) ২৫ জুন
সঠিক উত্তর: গ) ২০ জুন
প্রশ্ন ১০২. জাতিসংঘ মাদক ও অপরাধ সংক্রান্ত সংস্থা UNODC-র প্রধান কার্যালয় কোথায় অবস্থিত?
ক) রোম
খ) ভিয়েনা
গ) জেনেভা
ঘ) পিটসবার্গ
সঠিক উত্তর: খ) ভিয়েনা
প্রশ্ন ১০৩. বাংলাদেশ ভারত স্থল সীমান্ত সম্পর্কিত প্রটোকলটি কত সালে স্বাক্ষরিত হয়?
ক) ১৯৭৪
খ) ২০১১
গ) ২০১৩
ঘ) ২০১৫
সঠিক উত্তর: খ) ২০১১
প্রশ্ন ১০৪. আলেপ্পো শহরটি কোন দেশে অবস্থিত?
ক) ইরান
খ) ইরাক
গ) জর্ডান
ঘ) সিরিয়া
সঠিক উত্তর: ঘ) সিরিয়া
প্রশ্ন ১০৫. উন্নয়নশীল দেশসমূহের বৈশ্বিক জোট ‘জি-৭৭’ এর বর্তমান সদস্য সংখ্যা কত?
ক) ১০৫
খ) ১১৫
গ) ১২৫
ঘ) ১৩৫
সঠিক উত্তর: ঘ) ১৩৫
প্রশ্ন ১০৬. “২০৩০ সালের মধ্যে বিশ্বের দরিদ্র নারী, পুরুষ ও শিশুর সংখ্যা অর্ধেক নামিয়ে আনতে হবে” -এটি টেকসই উন্নয়ন লক্ষমাত্রায় কোন অভীষ্ট লক্ষ্য?
ক) টার্গেট ১.১
খ) টার্গেট ১.২
গ) টার্গেট ১.৩
ঘ) টার্গেট ১.৪
সঠিক উত্তর: খ) টার্গেট ১.২
প্রশ্ন ১০৭. বৈশ্বিক উন্নয়ন উদ্যোক্তা এর প্রস্তাবক হচ্ছে –
ক) চীন
খ) জাপান
গ) ডেনমার্ক
ঘ) সুইডেন
সঠিক উত্তর: ক) চীন
প্রশ্ন ১০৮. বাংলাদেশ কত সালে আন্তর্জাতিক শ্রম সংস্থার সদস্যপদ লাভ করে?
ক) ১৯৭২
খ) ১৯৭৩
গ) ১৯৭৪
ঘ) ১৯৭৫
সঠিক উত্তর: ক) ১৯৭২
প্রশ্ন ১০৯. বাংলাদেশের অভিবাসী নারী শ্রমিকদের সর্বাধিক গন্তব্যস্থল –
ক) সৌদি আরব
খ) কুয়েত
গ) ওমান
ঘ) জর্দান
সঠিক উত্তর: ক) সৌদি আরব
প্রশ্ন ১১০. কপ ২৮ সম্মেলনটি কী সম্পর্কিত?
ক) শরণার্থীর অধিকার
খ) জ্বালানি নিরাপত্তা
গ) সমুদ্র সীমানা
ঘ) জলবায়ু পরিবর্তন
সঠিক উত্তর: ঘ) জলবায়ু পরিবর্তন
প্রশ্ন ১১১. বৈশ্বিক সন্ত্রাসবাদ সূচক ২০২৩ অনুযায়ী কোন দেশটি সবচেয়ে বেশি সন্ত্রাসবাদের ঝুঁকির মধ্যে?
ক) আফগানিস্তান
খ) মায়ানমার
গ) পেরু
ঘ) মালি
সঠিক উত্তর: ক) আফগানিস্তান
প্রশ্ন ১১২. বৈশিক শান্তিসূচক ২০২৩ অনুযায়ী বিশ্বের সবচেয়ে শান্তিপূর্ণ দেশ হলো –
ক) আইসল্যান্ড
খ) জাপান
গ) সিংগাপুর
ঘ) সুইজারল্যান্ড
সঠিক উত্তর: ক) আইসল্যান্ড
প্রশ্ন ১১৩. ‘বার বিধি’ (The Twelve Tables) কী?
ক) রোমান আইনের ভিত্তি
খ) স্থাপত্যের ১২টি নির্দেশনা
গ) ফুটবল খেলার নিয়মাবলি
ঘ) স্থানীয়/দেশি খেলা
সঠিক উত্তর: ক) রোমান আইনের ভিত্তি
প্রশ্ন ১১৪. সিয়াচেন হিমবার (Siachen Glaciar) কোন দুইটি দেশের মধ্যে অবস্থিত?
ক) ভারত ও চীন
খ) নেপাল ও চীন
গ) পাকিস্তান ও চীন
ঘ) ভারত ও পাকিস্তান
সঠিক উত্তর: ঘ) ভারত ও পাকিস্তান
প্রশ্ন ১১৫. টেকসই উন্নয়ন লক্ষ্যমাত্রার (SDG) চতুর্থ লক্ষ্যমাত্রা কোনটি?
ক) জলবায়ু কার্যক্রম
খ) মানসম্মত শিক্ষা
গ) দারিদ্র বিমোচন
ঘ) শান্তি, ন্যায়বিচার ও কার্যকর প্রতিষ্ঠান
সঠিক উত্তর: খ) মানসম্মত শিক্ষা
প্রশ্ন ১১৬. জৈব নিরাপত্তা বিষয়ক (Biosafety to the Convention on Biological Diversity) হচ্ছে-
ক) কার্টাগেনা প্রটোকল
খ) মন্ট্রিল প্রটোকল
গ) কিয়াটো প্রটোকল
ঘ) প্যারিস চুক্তি
সঠিক উত্তর: ক) কার্টাগেনা প্রটোকল
প্রশ্ন ১১৭. ‘Friday For Future’ কোন ধরনের আন্দোলন?
ক) ধর্মীয় আন্দোলন
খ) পরিবেশবাদী আন্দোলন
গ) শান্তিবাদী আন্দোলন
ঘ) গণতান্ত্রিক আন্দোলন
সঠিক উত্তর: খ) পরিবেশবাদী আন্দোলন
প্রশ্ন ১১৮. আন্তর্জাতিক আদালতের (International Court of Justice) সভাপতির মেয়াদ কত বৎসর?
ক) ২ বৎসর
খ) ৩ বৎসর
গ) ৬ বৎসর
ঘ) ৯ বৎসর
সঠিক উত্তর: খ) ৩ বৎসর
প্রশ্ন ১১৯. উত্তর আটলান্টিক চুক্তির কত নম্বর ধারায় যৌথ নিরাপত্তার ধারণাটি ব্যক্ত হয়েছে?
ক) আর্টিকেল ২
খ) আর্টিকেল ৩
গ) আর্টিকেল ৪
ঘ) আর্টিকেল ৫
সঠিক উত্তর: ঘ) আর্টিকেল ৫
প্রশ্ন ১২০. আন্তর্জাতিক সম্পর্কের কোন তত্ত্বটি আন্তর্জাতিক প্রতিষ্ঠানের কার্যকরী ভূমিকার বিষয়ে ইতিবাচক ধারণা প্রদান করে?
ক) উদারবাদ
খ) বাস্তববাদ
গ) মার্ক্সবাদ
ঘ) কোনোটিই নয়
সঠিক উত্তর: ক) উদারবাদ
প্রশ্ন ১২১. হিলি স্থল বন্দরটি বাংলাদেশের কোথায় অবস্থিত?
ক) বিরামপুর, দিনাজপুর
খ) ঘোড়াঘাট, দিনাজপুর
গ) হাকিমপুর, দিনাজপুর
ঘ) পাঁচ বিবি, জয়পুর হাট
সঠিক উত্তর: গ) হাকিমপুর, দিনাজপুর
প্রশ্ন ১২২. ঢাকা থেকে পূর্বদিকে অবস্থিত একটি স্থানের সাথে দ্রাঘিমার পার্থক্য ৪৫°। ঢাকার সময় মধ্যাহ্ন ১২:০০ টা হলে ঐ স্থানটির স্থানীয় সময় হবে-
ক) সকাল ০৯:০০ টা
খ) বিকাল ০৩:০০ টা
গ) সন্ধ্যা ০৬:০০ টা
ঘ) রাত ০৯:০০ টা
সঠিক উত্তর: খ) বিকাল ০৩:০০ টা
প্রশ্ন ১২৩. কোন দুটি প্লেটের সংযোগস্থল বরাবর মাউন্ট এভারেস্ট অবস্থিত?
ক) ইন্ডিয়ান ও ইউরেশিয়ান
খ) ইন্ডিয়ান ও বার্মিজ
গ) ইন্ডিয়ান ও আফ্রিকান
ঘ) বার্মিজ ও ইউরেশিয়ান
সঠিক উত্তর: ক) ইন্ডিয়ান ও ইউরেশিয়ান
প্রশ্ন ১২৪. উচ্চতা বৃদ্ধির সাথে ট্রপোমন্ডলে বায়ুর ক্রমহ্রাসমান তাপমাত্রা হল –
ক) ৫.৫° সেলসিয়াস/কিলোমিটার
খ) ৬.৫° সেলসিয়াস/কিলোমিটার
গ) ৭.৫° সেলসিয়াস/কিলোমিটার
ঘ) ৮.৫° সেলসিয়াস/কিলোমিটার
সঠিক উত্তর: খ) ৬.৫° সেলসিয়াস/কিলোমিটার
প্রশ্ন ১২৫. দুবাইয়ে অনুষ্ঠিত জাতিসংঘ জলবায়ু বিষয়ক সম্মেলনে (কপ-২৮) মূল ফোকাস ছিল –
ক) জীবাশ্ম জ্বালানির ব্যবহার পর্যায়ক্রমে হ্রাসকরণ
খ) জীববৈচিত্র্য সংরক্ষণ বিষয়ক
গ) ওজোনস্তর ক্ষয় নিয়ন্ত্রণ বিষয়ক
ঘ) মরুকরণ প্রক্রিয়া হ্রাসকরণ
সঠিক উত্তর: ক) জীবাশ্ম জ্বালানির ব্যবহার পর্যায়ক্রমে হ্রাসকরণ
প্রশ্ন ১২৬. নিরক্ষীয় তল থেকে উত্তর মেরুর কৌণিক দূরত্ব বা উৎপন্ন কোণ কত?
ক) ১৮০°
খ) ৩৬০°
গ) ৯০°
ঘ) ০°
সঠিক উত্তর: গ) ৯০°
প্রশ্ন ১২৭. জাপানিজ শব্দ ‘সুনামি’ এর অর্থ কী?
ক) বিশালাকৃতির ঢেউ
খ) সামুদ্রিক ঢেউ
গ) জলোচ্ছ্বাস
ঘ) পোতাশ্রয়ের ঢেউ
সঠিক উত্তর: ঘ) পোতাশ্রয়ের ঢেউ
প্রশ্ন ১২৮. বৈশ্বিক উষ্ণায়নের জন্য ঝুঁকিপূর্ণ নয় কোনটি?
ক) মরুকরণ
খ) বন্যা
গ) সমুদ্র পৃষ্ঠের উচ্চতা বৃদ্ধি
ঘ) ভূমিকম্প
সঠিক উত্তর: ঘ) ভূমিকম্প
প্রশ্ন ১২৯. বন্যা নিয়ন্ত্রণে সাধারণ ব্যবস্থাপনার অন্তর্ভুক্ত নয় কোনটি?
ক) নদী খননের মাধ্যমে পানি পরিবহন সক্ষমতা বৃদ্ধি করা
খ) নদী শাসন ব্যবস্থা সুনিশ্চিত করা
গ) নদীর দুই তীরে বনাঞ্চল সৃষ্টি করা
ঘ) বন্যার পূর্বাভাস ও সতর্কীকরণ ব্যবস্থার উন্নয়ন সাধন করা
সঠিক উত্তর: ক) নদী খননের মাধ্যমে পানি পরিবহন সক্ষমতা বৃদ্ধি করা
প্রশ্ন ১৩০. নিচের কোনটি কৃষি-আবহাওয়াজনিত আপদ (Hazard)?
ক) ভূমিকম্প
খ) ভূমিধস
গ) সুনামি
ঘ) খরা
সঠিক উত্তর: ঘ) খরা
প্রশ্ন ১৩১. Which of the following words can be used as a verb?
ক) mobile
খ) sugar
গ) media
ঘ) sand
সঠিক উত্তর: “বাতিল করা হয়েছে”
প্রশ্ন ১৩২. In which sentence ‘like’ is used as a preposition?
ক) He likes to eat fish
খ) He laughs like his father does
গ) He climbed the tree like a cat
ঘ) Like minded people are necessary to start a business
সঠিক উত্তর: গ) He climbed the tree like a cat
প্রশ্ন ১৩৩. He died following the incident.
The underlined word is a/an-
ক) adjective
খ) adverb
গ) noun
ঘ) preposition
সঠিক উত্তর: ঘ) preposition
প্রশ্ন ১৩৪. Writing a diary is a very good practice to develop the writing skill.
The underlined part is a/an-
ক) noun phrase
খ) verbal phrase
গ) adjective phrase
ঘ) adverbial phrase
সঠিক উত্তর: ক) noun phrase
প্রশ্ন ১৩৫. Fill in the blank with the correct word.
_____ he lay on the ground groaning.
ক) Injured
খ) Injuring
গ) Having injured
ঘ) Be injured
সঠিক উত্তর: ক) Injured
প্রশ্ন ১৩৬. Find out the meaning of the following phrase: By and large.
ক) very large
খ) on the whole
গ) far away
ঘ) the largest one
সঠিক উত্তর: খ) on the whole
প্রশ্ন ১৩৭. Choose the best alternative for the underlined. He went back on his promise of voting for me.
ক) withdrew
খ) forgot
গ) reinforced
ঘ) support
সঠিক উত্তর: ক) withdrew
প্রশ্ন ১৩৮. ‘Let the cat out of the bag’ means-
ক) bring out a cat from a bag
খ) let a cat move at large
গ) reveal a secret carelessly
ঘ) take a pre-caucious steps
সঠিক উত্তর: গ) reveal a secret carelessly
প্রশ্ন ১৩৯. He is a man to depend on.
The underlined part is ____
ক) a noun phrase
খ) an adjective phrase
গ) an adverbial phrase
ঘ) a prepositional phrase
সঠিক উত্তর: খ) an adjective phrase
প্রশ্ন ১৪০. His dream that he will be a B.C.S cadre finally came true. The underlined part is –
ক) a noun clause
খ) an adjective clause
গ) an independent clause
ঘ) a co-ordinate clause
সঠিক উত্তর: ক) a noun clause
প্রশ্ন ১৪১. Which of the following is a correct simple sentence?
ক) All that glitters is not gold
খ) All’s well that ends well
গ) Do or die
ঘ) I saw an old man walking past me
সঠিক উত্তর: ঘ) I saw an old man walking past me
প্রশ্ন ১৪২. Which is the correct complex form of the sentence?
‘A corrupt man cannot win the respect of others.’
ক) A man who is corrupt cannot respect others.
খ) A man does not respect others who are corrupt.
গ) A man who is corrupt cannot win the respect of others.
ঘ) A man who can win the respect of others cannot be corrupt.
সঠিক উত্তর: গ) A man who is corrupt cannot win the respect of others.
প্রশ্ন ১৪৩. Find out the correct positive form of the sentence : ‘Who else is the better player than Zaman in the team’?
ক) Is there any other player in this team who is as good as Zaman?
খ) Who is the best player than Zaman in this team?
গ) Is there any other players in this team who is as good as Zaman?
ঘ) Are there any other player in this team who are as good as Zaman?
সঠিক উত্তর: ক) Is there any other player in this team who is as good as Zaman?
প্রশ্ন ১৪৪. Fill in the blank with the correct word:
The submarine dipped to avoid ______ by the enemy plane.
ক) see
খ) seeing
গ) being seen
ঘ) seen
সঠিক উত্তর: গ) being seen
প্রশ্ন ১৪৫. In fear of ______ he escaped elsewhere.
ক) arresting
খ) arrested
গ) being arrested
ঘ) having arrested
সঠিক উত্তর: গ) being arrested
প্রশ্ন ১৪৬. I didn’t follow who passed by me. It _____ Shajib.
ক) were
খ) must be
গ) might be
ঘ) was
সঠিক উত্তর: গ) might be
প্রশ্ন ১৪৭. Samin is my colleague. I _______ him for ten years.
ক) know
খ) knew
গ) have known
ঘ) have been known
সঠিক উত্তর: গ) have known
প্রশ্ন ১৪৮. The snow swirls ______ the valley.
ক) up
খ) in
গ) down
ঘ) through
সঠিক উত্তর: গ) down
প্রশ্ন ১৪৯. There is a coffee shop ______ the street.
ক) at
খ) on
গ) before
ঘ) across
সঠিক উত্তর: ঘ) across
প্রশ্ন ১৫০. Identify the correct sentences:
ক) He has said to me that I will go but you will stay there in Dhaka.
খ) He has told me that he will go but I will stay here in Dhaka.
গ) He has told me that I would go but you would stay there in Dhaka.
ঘ) He has told me that he would go but I would stay here in Dhaka.
সঠিক উত্তর: খ) He has told me that he will go but I will stay here in Dhaka.
প্রশ্ন ১৫১. Identify the correct sentences:
ক) The room was darkened by switching off all the lights.
খ) The room was darkened switching off all the lights.
গ) The room was darkened to switch off all the lights.
ঘ) Switching off all the lights the room was darkened.
সঠিক উত্তর: ক) The room was darkened by switching off all the lights.
প্রশ্ন ১৫২. Identify the correct sentences:
ক) Had you been there on time, you could have had the information.
খ) If you had been there on time, you could have the information.
গ) If you had been there on time, you might get the information.
ঘ) Had been you there, you could have got the information.
সঠিক উত্তর: ক) Had you been there on time, you could have had the information.
প্রশ্ন ১৫৩. Identify the correct sentences:
ক) There are trees on the both sides of the road.
খ) There are trees on both the sides of the road.
গ) There are trees, on both side of the road.
ঘ) There are trees on either sides of the road.
সঠিক উত্তর: খ) There are trees on both the sides of the road.
প্রশ্ন ১৫৪. The antonym of ‘boisterous’ is ______
ক) noisy
খ) quit
গ) unruly
ঘ) cheerful
সঠিক উত্তর: খ) quit
প্রশ্ন ১৫৫. ‘Plagiarism means ____
ক) the act of using someones else’s idea as one’s own.
খ) the act of planning everything beforehand.
গ) the act of playing a musical instrument.
ঘ) the art of dealing with forgery.
সঠিক উত্তর: ক) the act of using someones else’s idea as one’s own.
প্রশ্ন ১৫৬. The two cities in A Tale of Two Cities are –
ক) London and Manchester
খ) London and Paris
গ) Paris and New York
ঘ) Paris and Geneva
সঠিক উত্তর: খ) London and Paris
প্রশ্ন ১৫৭. The line ‘Frailty, thou name is woman’ occurs in Shakespeare’s play –
ক) Hamlet
খ) Macbeth
গ) Othello
ঘ) King Lear
সঠিক উত্তর: ক) Hamlet
প্রশ্ন ১৫৮. Who of the following complied an English Dictionary?
ক) Samuel Johnson
খ) T.S. Eliot
গ) John Dryden
ঘ) William Congreve
সঠিক উত্তর: ক) Samuel Johnson
প্রশ্ন ১৫৯. Which is not a poetry form?
ক) Sonnet
খ) Ballad
গ) Tale
ঘ) Epic
সঠিক উত্তর: গ) Tale
প্রশ্ন ১৬০. ‘I am a man more sinned against than sinning’. This is uttered by___
ক) Horatio
খ) Hamlet
গ) King Lear
ঘ) Macbeth
সঠিক উত্তর: গ) King Lear
প্রশ্ন ১৬১. Which event influenced the literature of the Romantic period?
ক) French Revolution
খ) Industrial Revolution
গ) Russian Revolution
ঘ) Hundred Years’ War
সঠিক উত্তর: ক) French Revolution
প্রশ্ন ১৬২. The author of A Farewell to Arms is –
ক) Somerset Maugham
খ) Ernest Hemingway
গ) D. H. Lawrence
ঘ) Jane Austen
সঠিক উত্তর: খ) Ernest Hemingway
প্রশ্ন ১৬৩. Who is the most famous satirist in English literature?
ক) Alexander Pope
খ) Jonathan Swift
গ) John Dryden
ঘ) William Wordsworth
সঠিক উত্তর: খ) Jonathan Swift
প্রশ্ন ১৬৪. Which period is known as “The Golden Age of English Literature”?
ক) The Victorian Age
খ) The Elizabethan Age
গ) The Eighteen century
ঘ) The Restoration period
সঠিক উত্তর: খ) The Elizabethan Age
প্রশ্ন ১৬৫. Which novel is written by an Indian novelist?
ক) The Ministry of Utmost Happiness
খ) The Return of the Native
গ) Things Fall Apart
ঘ) Heart of Darkness
সঠিক উত্তর: ক) The Ministry of Utmost Happiness
প্রশ্ন ১৬৬. বাংলা ভাষায় কোন স্বরধ্বনি উচ্চারণকালে জিহ্বা উচ্চ অবস্থানে থাকে?
ক) আ
খ) এ
গ) উ
ঘ) ও
সঠিক উত্তর: গ) উ
প্রশ্ন ১৬৭. বাংলা শব্দ ভাণ্ডারে অনার্য জাতির ব্যবহৃত শব্দ –
ক) তৎসম
খ) তদ্ভব
গ) দেশি
ঘ) বিদেশি
সঠিক উত্তর: গ) দেশি
প্রশ্ন ১৬৮. ‘ধ্বনিবিজ্ঞান ও বাংলা ধ্বনিতত্ত্ব’ গ্রন্থের রচয়িতা –
ক) মুহম্মদ আবদুল হাই
খ) মুহম্মদ শহীদুল্লাহ্
গ) মুনীর চৌধুরী
ঘ) মুহম্মদ এনামুল হক
সঠিক উত্তর: ক) মুহম্মদ আবদুল হাই
প্রশ্ন ১৬৯. বাংলা বর্ণমালায় যৌগিক স্বর কয়টি?
ক) ১টি
খ) ২টি
গ) ৩টি
ঘ) ৪টি
সঠিক উত্তর: খ) ২টি
প্রশ্ন ১৭০. যোগরূঢ় শব্দ কোনটি?
ক) কলম
খ) মলম
গ) বাঁশি
ঘ) শাখামৃগ
সঠিক উত্তর: ঘ) শাখামৃগ
প্রশ্ন ১৭১. উপসর্গযুক্ত শব্দ –
ক) বিদ্যা
খ) বিদ্রোহী
গ) বিষয়
ঘ) বিপুল
সঠিক উত্তর: খ) বিদ্রোহী
প্রশ্ন ১৭২. বিভক্তিযুক্ত শব্দ কোনটি?
ক) সরোবরে
খ) চশমা
গ) সরোজ
ঘ) চম্পক
সঠিক উত্তর: ক) সরোবরে
প্রশ্ন ১৭৩. কোনটি প্রত্যয়-সাধিত শব্দ?
ক) ভাইবোন
খ) রাজপথ
গ) বকলম
ঘ) ঐকিক
সঠিক উত্তর: ঘ) ঐকিক
প্রশ্ন ১৭৪. ‘শিরশ্ছেদ’ শব্দের সন্ধিবিচ্ছেদ –
ক) শির + ছেদ
খ) শিরঃ + ছেদ
গ) শিরশ্ + ছেদ
ঘ) শির + উচ্ছেদ
সঠিক উত্তর: খ) শিরঃ + ছেদ
প্রশ্ন ১৭৫. ‘নীলকর’ কোন সমাসের দৃষ্টান্ত?
ক) দ্বন্দ্ব
খ) বহুব্রীহি
গ) নিত্য
ঘ) উপপদ তৎপুরুষ
সঠিক উত্তর: ঘ) উপপদ তৎপুরুষ
প্রশ্ন ১৭৬. ‘pedagogy’ শব্দের পরিভাষা –
ক) সহশিক্ষা
খ) নারীশিক্ষা
গ) শিক্ষাতত্ত্ব
ঘ) শিক্ষানীতি
সঠিক উত্তর: গ) শিক্ষাতত্ত্ব
প্রশ্ন ১৭৭. ‘বঙ্কিম’ এর বিপরীত শব্দ কোনটি?
ক) বন্ধুর
খ) অসম
গ) সুষম
ঘ) ঋজু
সঠিক উত্তর: ঘ) ঋজু
প্রশ্ন ১৭৮. বাংলা একাডেমির ‘প্রমিত বাংলা বানানের নিয়ম’ কত সালে প্রণীত হয়?
ক) ১৯৯০
খ) ১৯৯২
গ) ১৯৯৪
ঘ) ১৯৯৬
সঠিক উত্তর: খ) ১৯৯২
প্রশ্ন ১৭৯. কোন বানানটি শুদ্ধ?
ক) মুলো
খ) মুলা
গ) ধুলি
ঘ) ধূলো
সঠিক উত্তর: খ) মুলা
প্রশ্ন ১৮০. ‘নদী’-র সমার্থক শব্দ কোনটি?
ক) সিন্ধু
খ) হিল্লোল
গ) তটিনী
ঘ) নির্ঝর
সঠিক উত্তর: গ) তটিনী
প্রশ্ন ১৮১. চর্যাপদের কবিরা ছিলেন –
ক) মহাঘানী বৌদ্ধ
খ) বজ্রঘানী বৌদ্ধ
গ) বাউল
ঘ) সহজঘানী বৌদ্ধ
সঠিক উত্তর: ঘ) সহজঘানী বৌদ্ধ
প্রশ্ন ১৮২. ‘শূন্যপূরাণের’ রচয়িতা –
ক) রামাই পণ্ডিত
খ) হলায়ূধ মিশ্র
গ) কাহ্নপা
ঘ) কুক্কুরীপা
সঠিক উত্তর: ক) রামাই পণ্ডিত
প্রশ্ন ১৮৩. বাংলা সাহিত্যের ইতিহাসে কাঁকিল্যা গ্রাম কেন উল্লেখযোগ্য?
ক) শ্রীচৈতন্যদেবের জন্মস্থান
খ) বড়ু চণ্ডীদাসের জন্মস্থান
গ) চর্যাপদের প্রাপ্তিস্থান
ঘ) শ্রীকৃষ্ণকীর্ত্তন কাব্যের প্রাপ্তিস্থান
সঠিক উত্তর: ঘ) শ্রীকৃষ্ণকীর্ত্তন কাব্যের প্রাপ্তিস্থান
প্রশ্ন ১৮৪. ‘যে সবে বঙ্গেত জন্মি হিংসে বঙ্গবাণী।
সে সব কাহার জন্ম নির্ণয় ন জানি।।’ – কবিতাংশটি
কোন কাব্যের অন্তর্গত?
ক) নূরনামা
খ) নসিহতনামা
গ) মধুমালতী
ঘ) ইউসুফ-জুলেখা
সঠিক উত্তর: ক) নূরনামা
প্রশ্ন ১৮৫. আলাওল কোন শতাব্দীর কবি?
ক) পঞ্চদশ
খ) ষোড়শ
গ) সপ্তদশ
ঘ) অষ্টাদশ
সঠিক উত্তর: গ) সপ্তদশ
প্রশ্ন ১৮৬. কোন বাংলা গানকে ইউনেস্কো Heritage of Humanity অভিধায় ভূষিত করেছে?
ক) রবীন্দ্র সংগীত
খ) নজরুল সংগীত
গ) ভাটিয়ালি গান
ঘ) বাউল গান
সঠিক উত্তর: ঘ) বাউল গান
প্রশ্ন ১৮৭. চন্ডীচরণ মুন্সী কে?
ক) শ্রীরামপুর মিশনের লিপিকর
খ) ফোর্ট উইলিয়াম কলেজের পণ্ডিত
গ) কেরী সাহেবের মুন্সী গ্রন্থের রচয়িতা
ঘ) সমাচার চন্দ্রিকা পত্রিকার সম্পাদক
সঠিক উত্তর: খ) ফোর্ট উইলিয়াম কলেজের পণ্ডিত
প্রশ্ন ১৮৮. ‘রত্নপরীক্ষা’ গ্রন্থের রচয়িতা –
ক) রামমোহন রায়
খ) অক্ষয়কুমার দত্ত
গ) ঈশ্বরচন্দ্র বিদ্যাসাগর
ঘ) রাধানাথ শিকদার
সঠিক উত্তর: গ) ঈশ্বরচন্দ্র বিদ্যাসাগর
প্রশ্ন ১৮৯. স্বর্ণকুমারী দেবীর পিতার নাম –
ক) দ্বারকানাথ ঠাকুর
খ) দেবেন্দ্রনাথ ঠাকুর
গ) রথীন্দ্রনাথ ঠাকুর
ঘ) প্রমথ চৌধুরী
সঠিক উত্তর: খ) দেবেন্দ্রনাথ ঠাকুর
প্রশ্ন ১৯০. ভীষ্মদেব খোশনবীশ বঙ্কিমচন্দ্র চট্টোপাধ্যায়ের কোন গ্রন্থের চরিত্র?
ক) কমলাকান্ত
খ) লোকরহস্য
গ) মুচিরাম গুড়ের জীবনচরিত
ঘ) যুগলাঙ্গুরীয়
সঠিক উত্তর: ক) কমলাকান্ত
প্রশ্ন ১৯১. দীনবন্ধু মিত্রের ‘নীলদর্পণ’ নাটকের ইংরেজি অনুবাদক –
ক) জশুয়া মার্শম্যান
খ) ডেভিড হেয়ার
গ) ঈশ্বরচন্দ্র বিদ্যাসাগর
ঘ) মাইকেল মধুসূদন দত্ত
সঠিক উত্তর: ঘ) মাইকেল মধুসূদন দত্ত
প্রশ্ন ১৯২. রঞ্জন চরিত্রটি রবীন্দ্রনাথ ঠাকুরের কোন নাটকের?
ক) বিসর্জন
খ) রক্তকরবী
গ) মুক্তধারা
ঘ) ডাকঘর
সঠিক উত্তর: খ) রক্তকরবী
প্রশ্ন ১৯৩. ‘তৈল’ প্রবন্ধটি লিখেছেন –
ক) সুকুমার রায়
খ) রমেশচন্দ্র মজুমদার
গ) শিবনারায়ণ রায়
ঘ) হরপ্রসাদ শাস্ত্রী
সঠিক উত্তর: ঘ) হরপ্রসাদ শাস্ত্রী
প্রশ্ন ১৯৪. “নাম রেখেছি কোমল গান্ধার” কাব্যের রচয়িতা –
ক) রবীন্দ্রনাথ ঠাকুর
খ) বিষ্ণু দে
গ) অমিয় চক্রবর্তী
ঘ) প্রেমেন্দ্র মিত্র
সঠিক উত্তর: খ) বিষ্ণু দে
প্রশ্ন ১৯৫. ‘ও মন রমজানের ঐ রোজার শেষে এলো খুশির ঈদ’ -গানটির রচয়িতা –
ক) কাজী নজরুল ইসলাম
খ) গোলাম মোস্তফা
গ) জসীমউদ্দীন
ঘ) আব্বাস উদ্দীন আহমদ
সঠিক উত্তর: ক) কাজী নজরুল ইসলাম
প্রশ্ন ১৯৬. শামসুর রাহমানের রচিত উপন্যাস –
ক) পতঙ্গ পিঞ্জর
খ) প্রেম একটি লাল গোলাপ
গ) রৌদ্র করোটিতে
ঘ) অদ্ভুত আঁধার এক
সঠিক উত্তর: ঘ) অদ্ভুত আঁধার এক
প্রশ্ন ১৯৭. সেলিম আল দীনের নাটকে অনুসৃত শিল্পতত্ত্ব –
ক) অস্তিত্ববাদ
খ) অভিব্যক্তিবাদ
গ) পরাবাস্তববাদ
ঘ) দ্বৈতাদ্বৈতবাদ
সঠিক উত্তর: ঘ) দ্বৈতাদ্বৈতবাদ
প্রশ্ন ১৯৮. ‘পৃথক পালঙ্ক’ কাব্যগ্রন্থের কবি –
ক) আল মাহমুদ
খ) রফিক আজাদ
গ) আবুল হাসান
ঘ) আবুল হোসেন
সঠিক উত্তর: গ) আবুল হাসান
প্রশ্ন ১৯৯. কোন গল্পকারের গল্পে ম্যাজিক রিয়েলিজমের প্রতিফলন ঘটেছে?
ক) জ্যোতিপ্রকাশ দত্ত
খ) রিজিয়া রহমান
গ) শহীদুল জহির
ঘ) দিলারা হাশেম
সঠিক উত্তর: গ) শহীদুল জহির
প্রশ্ন ২০০. “একুশ মানে মাথা নত না করা” – এই অমর পঙ্ক্তির রচয়িতা –
ক) আবদুল গাফফার চৌধুরী
খ) আবুল ফজল
গ) মুনীর চৌধুরী
ঘ) সিরাজুল ইসলাম চৌধুরী
সঠিক উত্তর: খ) আবুল ফজল

